Main Menu


Plane

6.1 Plane

A plane in 3-D can be considered as an infinite flat surface. Hence, any 2-D shape is a plane in a 3-D space. As we cannot draw an infinite surface, a finite 2-D surface near the region of interest will be used.


Examples of plane in daily life:

                           

6.2 Vector Equation of a plane




6.3 Finding Equation of a plane

There are many possibilities to find the equation of a plane. A few cases are displayed.





















  


















6.4 Cartesian Equation of a plane




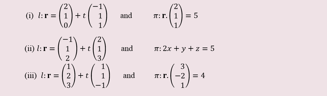
6.5 Point of intersection of a line with a plane









6.6 To find the foot of a perpendicular from a point on a plane








6.7 To find the perpendicular distance of a point from a plane






             






6.8 Formula for perpendicular distance of a point from a plane






6.9 Angle between a line and a plane












6.10 Angle between two planes










6.11 To find the line of Intersection of two planes














6.12 Lines and planes











6.13 Projection of a vector on another









6.14 Perpendicular distance of plane from Origin




6.15 Perpendicular distance between 2 parallel plane




6.16 Perpendicular distance of a point from a plane